Method 2.

FOIL Method 2 Digit by 2 Digit Multiplication - YouTube (Sean Casey)
The Andrew Scott Flute Method Book 2 - Andrewscottmusic.com
FREUD'S METHOD 2 / METOD FREYDA 2 SEASON 2 RUSSIAN TV ...
Lattice method-of-multiplication-2
Grid Method 2 digit x 2 digit - YouTube
Esse é o primeiro Gundam real já construÃdo
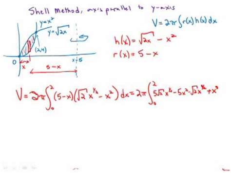
Calculus: Shell Method Example Other Axis - YouTube
Multiplication techniques explained for primary-school ...
Hankook Mirae Technology - METHOD 2 — Vitaly Bulgarov
Numerical Matrix Methods Part 2 Crout's Method - YouTube
0 Komentar